Dr. Vadym Zayetsv.zayets(at)gmail.com |
|
![]() |
more Chapters on this topic:IntroductionTransport Eqs.Spin Proximity/ Spin InjectionSpin DetectionBoltzmann Eqs.Band currentScattering currentMean-free pathCurrent near InterfaceOrdinary Hall effectAnomalous Hall effect, AMR effectSpin-Orbit interactionSpin Hall effectNon-local Spin DetectionLandau -Lifshitz equationExchange interactionsp-d exchange interactionCoercive fieldPerpendicular magnetic anisotropy (PMA)Voltage- controlled magnetism (VCMA effect)All-metal transistorSpin-orbit torque (SO torque)What is a hole?spin polarizationCharge accumulationMgO-based MTJMagneto-opticsSpin vs Orbital momentWhat is the Spin?model comparisonQuestions & AnswersEB nanotechnologyReticle 11
more Chapters on this topic:IntroductionTransport Eqs.Spin Proximity/ Spin InjectionSpin DetectionBoltzmann Eqs.Band currentScattering currentMean-free pathCurrent near InterfaceOrdinary Hall effectAnomalous Hall effect, AMR effectSpin-Orbit interactionSpin Hall effectNon-local Spin DetectionLandau -Lifshitz equationExchange interactionsp-d exchange interactionCoercive fieldPerpendicular magnetic anisotropy (PMA)Voltage- controlled magnetism (VCMA effect)All-metal transistorSpin-orbit torque (SO torque)What is a hole?spin polarizationCharge accumulationMgO-based MTJMagneto-opticsSpin vs Orbital momentWhat is the Spin?model comparisonQuestions & AnswersEB nanotechnologyReticle 11
|
Volt 54A Ta(2.5 nm)/ FeB(1.1 nm)/ MgO(6 nm)/ Ta(1 nm)/ Ru(5 nm)Measurement of magnetic and magneto- transport properties of nanomagnets. Measurement data.Abstract:High- precision, high- reproducibility, high- repeatability measurement of magnetic and magneto- transport properties of ferromagnetic nanomagnets using the Hall effectHigh-precision measurement of effect of spin-orbit torque (SOT effect): Dependence of magnetic and magneto- transport properties on electrical currentHigh-precision measurement of effect of voltage-controlled magnetic anisotropy (VCMA effect): Dependence of magnetic and magneto- transport properties on a gate voltage
|
Nanowire with two Hall probes |
![]() |
Measured hysteresis loop (See below) for gap regions indicates that the etching was stopped in middle of FeB layer |
| click on image to enlarge it |
(measurement 1)
Measurement of Hall angle vs external perpendicular magnetic field
(1.2) Spin-orbit torque: Measurement of dependence of Hall angle, Anomalous Hall effect (AHE), Inverse Spin Hall effect on current magnitude and polarity.
(1.3) VCMA: Measurement of dependence of Hall angle, Anomalous Hall effect (AHE), Inverse Spin Hall effect on gate voltage
(measurement 2)
Measurement of anisotropy field vs external perpendicular magnetic field
(2.1) Measurement of PMA & Anisotropy field
(2.2) Spin-orbit torque: ""Field- like torque" ""Damp- like torque". Measurement of dependence of PMA on the electrical current .
(2.3) VCMA: ""Field- like torque" ""Damp- like torque". Measurement of dependence of PMA on gate voltage.
(measurement 3)
Measurement of magnetization switching under external perpendicular magnetic field
Coercive field is about 40 Oe and retention time is about a few minutes. The retention time is too short for a precise measurement.
Hysteresis loop |
||||
|
||||
Sample Volt54A Ta(2.5 nm)/ FeB(1.1 nm)/ MgO(6 nm)/ Ta(1 nm)/ Ru(5 nm) |
||||
| click on image to enlarge it |
fabrication: Ret14 (stepper only, no EB)
MgO 220C/360C
Raw data Volt54A.zip (.dat files and origin 9 files)
Conductivity: 0.055-0.06 S/m2
Anisotropy field Hanis =2.5 kGauss
Coercive field = 20 Oe-70 Oe;
Hall angle measured=320- 370 mdeg
Intrinsic Hall angle of FeB= 1047 - 1211 mdeg;
Gap region etched: FeB is partially etched, stopped in middle of FeB
nanowire width: 3 μm; nanomagnet length: 3 μm
Kerr Rotation angle MOKE |
![]() |
data of a plain film before nanofabrication |
| (note) Coercive field and shape of coercive loop is very different for a nanomagnet and film, from which it was fabricated, because of different magnetization switching mechanisms (See here) |
| click on image to enlarge it |
![]()
magnetization- switching parameters: ![]()
![]()
retention time τret
(gate): L68-> 105 s; R26-> 103.9 s; L34-> 104 s;
size of nucleation domain:
(gate): L68-> 70 nm; R26-> 64 nm; L34-> 70 nm
coercive field Hc:
(gate): L68-> 34 G; R26->32 G R43-> 26 G
parameter Δ :
(gate): L68-> 185; R26->134; L34-> 190
Since the nanowire is double- layer, which consists of Ta and FeB layer, the Hall angle αHall, FeB in FeB can be calculated from measured Hall angle αHall, measured (See here) as

where 
tFeB, tTa, σFeB,σTa are thicknesses and conductivities of FeB and Ta metals.
kdouble=3.2727
nanowire width: 3 μm; nanomagnet length: 3 μm
Hall angle, Anomalous Hall effect (AHE), Inverse Spin Hall effect (Sample dependence) |
|||||||||
|
|||||||||
details of this measurement method is here |
|||||||||
| Sample Volt54A Ta(2.5 nm)/ FeB(1.1 nm)/ MgO(6 nm)/ Ta(1 nm)/ Ru(5 nm) | |||||||||
| click on image to enlarge it |
The Hall angle αHall , its 1st derivation ∂αHall/∂Hz and its 2d derivation ∂2αHall/∂Hz2 is simultaneously fitted by equation (See here)

where αOHE is Hall angle of Ordinary Hall effect, αAHE is Hall angle of Anomalous Hall effect and where αISHE is Hall angle of Inverse Spin Hall effect
There is an ambiguity for αISHE and αAHE, which depends on unknown spin polarization sp


where sp is the spin polarization of conduction electrons, αAHE,0.5 is αAHE at sp=0.5, αISHE,0.5 is αISHE at sp=0.5
sample:( L16B)
αISHE,0.5= 395 mdeg; αAHE,0.5= 627 mdeg; αOHE=0.2 mdeg/kG; Hp=5.37 kG;
sample:( L20)
αISHE,0.5= 424 mdeg; αAHE,0.5= 717 mdeg; αOHE=0.2 mdeg/kG; Hp=5.35 kG;
sample:( L70)
αISHE,0.5= 351 mdeg; αAHE,0.5= 695 mdeg; αOHE=0.2 mdeg/kG; Hp=5.84 kG;
sample:( R26)
αISHE,0.5= 549 mdeg; αAHE,0.5= 672 mdeg; αOHE=0.2 mdeg/kG; Hp=6.14 kG;
sample:( R66)
αISHE,0.5= 405 mdeg; αAHE,0.5= 698 mdeg; αOHE=0.2 mdeg/kG; Hp=5.33 kG;
AHE & ISHE Spin-orbit torque. Hall angle, Anomalous Hall effect (AHE), Inverse Spin Hall effect vs current |
||||||||||||||||||
|
||||||||||||||||||
details of this measurement method is here |
||||||||||||||||||
| Sample Volt54A Ta(2.5 nm)/ FeB(1.1 nm)/ MgO(6 nm)/ Ta(1 nm)/ Ru(5 nm) | ||||||||||||||||||
| click on image to enlarge it |
(temperature) ![]()
(AHE vs I2 ): strong 4% decrease at current of 50 mA/ μm2; (fig.4a)
(ISHE vs I2 ):weak, 0.2 mdeg/kG decrease at 50 mA/ μm2 (fig.4b)
(Spin- orbit torque) ![]()
(AHE(I)-AHE(-I)):weak (most of samples); moderate 0.6 % (samples: R41,R42) slope: negative e; saturation: at 40 mA/ μm2; (fig.4c)
(ISHE(I)-ISHE(-I)): very small (~0.1 mdeg/kG) (fig.4d)
AHE & ISHE VCMA. Hall angle, Anomalous Hall effect (AHE), Inverse Spin Hall effect vs gate voltage |
||||||||||||
|
||||||||||||
details of this measurement method is here |
||||||||||||
| Sample Volt54A Ta(2.5 nm)/ FeB(1.1 nm)/ MgO(6 nm)/ Ta(1 nm)/ Ru(5 nm) | ||||||||||||
| click on image to enlarge it |
(AHE vs Vgate ): moderate 0.8 % ; slope: negative; saturation: none
(ISHE vs Vgate ): moderate 0.3 mdeg/kG; slope: positive; saturation: none
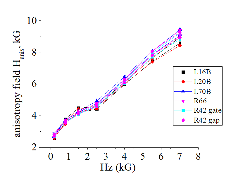
Measurement of PMA. Anisotropy field |
|||||||||
|
|||||||||
details of this measurement method is here |
|||||||||
| Sample VolA54: Ta(3 nm)/ FeB(1.1 nm)/ MgO(7 nm)/ W(1 nm) /Ru(5 nm) | |||||||||
| click on image to enlarge it |
Spin-orbit torque
vs PMASpin-orbit torque. Measurement of dependence of PMA on the electrical current j. |
||||||||||||
|
||||||||||||
details of this measurement method is here |
||||||||||||
| Sample Volt54A Ta(2.5 nm)/ FeB(1.1 nm)/ MgO(6 nm)/ Ta(1 nm)/ Ru(5 nm) | ||||||||||||
| click on image to enlarge it |
Spin-orbit torque. Measurement of dependence of anisotropy field Hanis and offset magnetic field Hoff on the electrical current j. |
||||||||||||||||||
|
||||||||||||||||||
Data of Sample L16B |
||||||||||||||||||
| details of this measurement method is here | ||||||||||||||||||
| click on image to enlarge it |
VCMA
VCMA. Measurement of dependence of PMA on gate voltage |
||||||||||||
|
||||||||||||
details of this measurement method is here |
||||||||||||
| Sample Volt54A Ta(2.5 nm)/ FeB(1.1 nm)/ MgO(6 nm)/ Ta(1 nm)/ Ru(5 nm) | ||||||||||||
| click on image to enlarge it |
Voltage-controlled magnetic anisotropy (VCMA). |
||||||||||||||||||
|
||||||||||||||||||
Data of Sample R42C |
||||||||||||||||||
| details of this measurement method is here | ||||||||||||||||||
| click on image to enlarge it |
Coercive field is about 40 Oe and retention time is about a few minutes. The retention time is too short for a precise measurement.
I am strongly against a fake and "highlight" research ![]()
![]()
![]()
![]()
I will try to answer your questions as soon as possible