Dr. Vadym Zayetsv.zayets(at)gmail.com |
|
![]() |
more Chapters on this topic:IntroductionTransport Eqs.Spin Proximity/ Spin InjectionSpin DetectionBoltzmann Eqs.Band currentScattering currentMean-free pathCurrent near InterfaceOrdinary Hall effectAnomalous Hall effect, AMR effectSpin-Orbit interactionSpin Hall effectNon-local Spin DetectionLandau -Lifshitz equationExchange interactionsp-d exchange interactionCoercive fieldPerpendicular magnetic anisotropy (PMA)Voltage- controlled magnetism (VCMA effect)All-metal transistorSpin-orbit torque (SO torque)What is a hole?spin polarizationCharge accumulationMgO-based MTJMagneto-opticsSpin vs Orbital momentWhat is the Spin?model comparisonQuestions & AnswersEB nanotechnologyReticle 11
more Chapters on this topic:IntroductionTransport Eqs.Spin Proximity/ Spin InjectionSpin DetectionBoltzmann Eqs.Band currentScattering currentMean-free pathCurrent near InterfaceOrdinary Hall effectAnomalous Hall effect, AMR effectSpin-Orbit interactionSpin Hall effectNon-local Spin DetectionLandau -Lifshitz equationExchange interactionsp-d exchange interactionCoercive fieldPerpendicular magnetic anisotropy (PMA)Voltage- controlled magnetism (VCMA effect)All-metal transistorSpin-orbit torque (SO torque)What is a hole?spin polarizationCharge accumulationMgO-based MTJMagneto-opticsSpin vs Orbital momentWhat is the Spin?model comparisonQuestions & AnswersEB nanotechnologyReticle 11
|
Volt 40A (Ta(2 nm)/ FeB(1.3 nm)/ MgO(5.1 nm)/ Ta(1nm)/ Ru(5 nm))Measurement of magnetic and magneto- transport properties of nanomagnets. Measurement data.Abstract:High- precision, high- reproducibility, high- repeatability measurement of magnetic and magneto- transport properties of ferromagnetic nanomagnets using the Hall effectHigh-precision measurement of effect of spin-orbit torque (SOT effect): Dependence of magnetic and magneto- transport properties on electrical currentHigh-precision measurement of effect of voltage-controlled magnetic anisotropy (VCMA effect): Dependence of magnetic and magneto- transport properties on a gate voltage
|
Nanowire with two Hall probes |
![]() |
Measured hysteresis loop (See below) for gap regions indicates that the etching was stopped at Ta/FeB boundary |
| click on image to enlarge it |
(1.2) Spin-orbit torque: Measurement of dependence of Hall angle, Anomalous Hall effect (AHE), Inverse Spin Hall effect on current magnitude and polarity.
(1.3) VCMA: Measurement of dependence of Hall angle, Anomalous Hall effect (AHE), Inverse Spin Hall effect on gate voltage
(measurement 2)
Measurement of anisotropy field vs external perpendicular magnetic field
(2.1) Measurement of PMA & Anisotropy field
(2.2) Spin-orbit torque: ""Field- like torque" ""Damp- like torque". Measurement of dependence of PMA on the electrical current .
(2.3) VCMA: ""Field- like torque" ""Damp- like torque". Measurement of dependence of PMA on gate voltage.
(measurement 3)
Measurement of magnetization switching under external perpendicular magnetic field
(3.1) Measurement of coercive field HC, retention time, size of nucleation domain, parameter delta Δ
(3.2) Spin-orbit torque: Current dependence of magnetization switching parameters.
(3.3) VCMA: dependence of magnetization switching parameters on gate voltage.
Hysteresis loop |
||||
|
||||
Sample Volt40: Ta(2 nm)/ FeB(1.3 nm)/ MgO(5.1 nm)/ Ta(1nm)/ Ru(5 nm) |
||||
| click on image to enlarge it |
fabrication: Ret14 (stepper only, no EB)
Raw data Volt40.zip (.dat files and origin 9 files)
Conductivity: 0.023-0.029 S/m2
Anisotropy field Hanis =4.2 kGauss
Coercive field = 170 Oe-220 Oe;
Hall angle measured=290- 390 mdeg
Intrinsic Hall angle of FeB= 736- 990 mdeg;
Gap region etched: FeB is fully etched, stopped at FeB/ Ta interface
nanowire width: 3 μm; nanomagnet length: 3 μm
Kerr Rotation angle MOKE |
![]() |
data of a plain film before nanofabrication |
| (note) Coercive field and shape of coercive loop is very different for a nanomagnet and film, from which it was fabricated, because of different magnetization switching mechanisms (See here) |
| click on image to enlarge it |
![]()
magnetization- switching parameters: ![]()
![]()
retention time τret
(gate): L55-> 1021 s; R71-> 1021.5 s; R43-> 106 s;
(gap): L55-> 109 s; R71-> 1016 s;
size of nucleation domain:
(gate): L55-> 40 nm; R71-> 44 nm; R43-> 43 nm
(gap): L55-> 25 nm; R71-> 50 nm
coercive field Hc:
(gate): L55-> 370 Oe; R71->310 Oe R43-> 100 Oe
(gap): L55-> 310 Oe; R71-> 280 Oe
parameter Δ :
(gate): L55-> 120; R71->100 R43-> 120
(gap): L55-> 60; R71-> 135
Since the nanowire is double- layer, which consists of Ta and FeB layer, the Hall angle αHall, FeB in FeB can be calculated from measured Hall angle αHall, measured (See here) as

where 
tFeB, tTa, σFeB,σTa are thicknesses and conductivities of FeB and Ta metals.
kdouble=2.5385
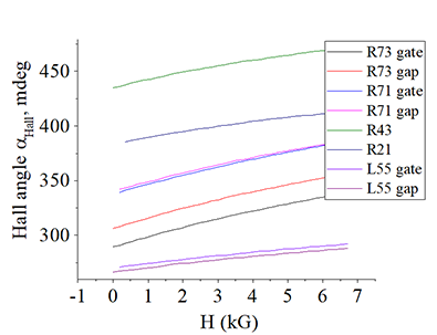
Hall angle, Anomalous Hall effect (AHE), Inverse Spin Hall effect (Sample dependence) |
details of this measurement method is here |
| Sample Volt40: Ta(2 nm)/ FeB(1.3 nm)/ MgO(5.1 nm)/ Ta(1nm)/ Ru(5 nm) |
| click on image to enlarge it |
The Hall angle αHall , its 1st derivation ∂αHall/∂Hz and its 2d derivation ∂2αHall/∂Hz2 is simultaneously fitted by equation (See here)

where αOHE is Hall angle of Ordinary Hall effect, αAHE is Hall angle of Anomalous Hall effect and where αISHE is Hall angle of Inverse Spin Hall effect
There is an ambiguity for αISHE and αAHE, which depends on unknown spin polarization sp


where sp is the spin polarization of conduction electrons, αAHE,0.5 is αAHE at sp=0.5, αISHE,0.5 is αISHE at sp=0.5
sample:( L55 gate)
αISHE,0.5= 211 mdeg; αAHE,0.5= 475 mdeg; αOHE=0.2 mdeg/kG; Hp=20.3 kG;
sample:( R21 gate)
αISHE,0.5= 222 mdeg; αAHE,0.5= 753 mdeg; αOHE=0.2 mdeg/kG; Hp=13.6 kG;
sample:( R43 gate)
αISHE,0.5= 254 mdeg; αAHE,0.5= 850 mdeg; αOHE=0.2 mdeg/kG; Hp=12.4 kG;
sample:( R71 gate)
αISHE,0.5= 525mdeg; αAHE,0.5= 327 mdeg; αOHE=0.2 mdeg/kG; Hp=21.6 kG;
sample:( R71 gate)
αISHE,0.5= 504mdeg; αAHE,0.5= 231 mdeg; αOHE=0.2 mdeg/kG; Hp=21.0 kG;
AHE & ISHE Spin-orbit torque. Hall angle, Anomalous Hall effect (AHE), Inverse Spin Hall effect vs current |
details of this measurement method is here |
| Sample Volt40: Ta(2 nm)/ FeB(1.3 nm)/ MgO(5.1 nm)/ Ta(1nm)/ Ru(5 nm) |
| click on image to enlarge it |
(temperature)
(AHE vs I2 ): strong 3% decrease at current of 50 mA/ μm2
(ISHE vs I2 ): weak 0.2 mdeg/kG decrease at 50 mA/ μm2
(Spin- orbit torque) ![]()
(AHE(I)-AHE(-I)):moderate ~0.5 % (L55 gate: large 0.8 %); slope: all negative; saturation: at low current of 25 mA/ μm2; max change ~0.5 % (L55 gate: 0.8 %).
(ISHE(I)-ISHE(-I)): very small (~0.1 mdeg/kG)
AHE & ISHE
VCMA. Hall angle, Anomalous Hall effect (AHE), Inverse Spin Hall effect vs gate voltage |
details of this measurement method is here |
| Sample Volt40: Ta(2 nm)/ FeB(1.3 nm)/ MgO(5.1 nm)/ Ta(1nm)/ Ru(5 nm) |
| click on image to enlarge it |
(AHE vs Vgate ): moderate 1.5 % ; slope: unclear
(ISHE vs Vgate ): moderate 0.7 mdeg/kG; slope: negative; saturation: = Vgate=+1 V
Measurement of PMA. Anisotropy field |
details of this measurement method is here |
| Sample Volt40: Ta(3 nm)/ FeB(1.1 nm)/ MgO(7 nm)/ W(1 nm) /Ru(5 nm) |
| click on image to enlarge it |
Spin-orbit torque
vs PMASpin-orbit torque. Measurement of dependence of PMA on the electrical current j. |
details of this measurement method is here |
| Sample Volt40: Ta(2 nm)/ FeB(1.3 nm)/ MgO(5.1 nm)/ Ta(1nm)/ Ru(5 nm) |
| click on image to enlarge it |
Spin-orbit torque (SOT). Measurement of dependence of anisotropy field Hanis and offset magnetic field Hoff on the electrical current j. |
Data of Sample R73 |
| details of this measurement method is here |
| click on image to enlarge it |
VCMA
VCMA. Measurement of dependence of PMA on gate voltage |
details of this measurement method is here |
| Sample Volt40: Ta(2 nm)/ FeB(1.3 nm)/ MgO(5.1 nm)/ Ta(1nm)/ Ru(5 nm) |
| click on image to enlarge it |
Voltage-controlled magnetic anisotropy (VCMA). |
Data of Sample R43 |
| details of this measurement method is here |
| click on image to enlarge it |
SOT effect. Current dependence of magnetization switching parameters. |
details of this measurement method is here |
| Sample Volt40: Ta(2 nm)/ FeB(1.3 nm)/ MgO(5.1 nm)/ Ta(1nm)/ Ru(5 nm) |
| click on image to enlarge it |
VCMA
VCMA. Measurement of dependence of PMA on gate voltage. |
details of this measurement method is here |
| Sample Volt40: Ta(2 nm)/ FeB(1.3 nm)/ MgO(5.1 nm)/ Ta(1nm)/ Ru(5 nm) |
| click on image to enlarge it |
I am strongly against a fake and "highlight" research ![]()
![]()
![]()
![]()
I will try to answer your questions as soon as possible