Dr. Vadym Zayetsv.zayets(at)gmail.com |
|
![]() |
more Chapters on this topic:IntroductionTransport Eqs.Spin Proximity/ Spin InjectionSpin DetectionBoltzmann Eqs.Band currentScattering currentMean-free pathCurrent near InterfaceOrdinary Hall effectAnomalous Hall effect, AMR effectSpin-Orbit interactionSpin Hall effectNon-local Spin DetectionLandau -Lifshitz equationExchange interactionsp-d exchange interactionCoercive fieldPerpendicular magnetic anisotropy (PMA)Voltage- controlled magnetism (VCMA effect)All-metal transistorSpin-orbit torque (SO torque)What is a hole?spin polarizationCharge accumulationMgO-based MTJMagneto-opticsSpin vs Orbital momentWhat is the Spin?model comparisonQuestions & AnswersEB nanotechnologyReticle 11
more Chapters on this topic:IntroductionTransport Eqs.Spin Proximity/ Spin InjectionSpin DetectionBoltzmann Eqs.Band currentScattering currentMean-free pathCurrent near InterfaceOrdinary Hall effectAnomalous Hall effect, AMR effectSpin-Orbit interactionSpin Hall effectNon-local Spin DetectionLandau -Lifshitz equationExchange interactionsp-d exchange interactionCoercive fieldPerpendicular magnetic anisotropy (PMA)Voltage- controlled magnetism (VCMA effect)All-metal transistorSpin-orbit torque (SO torque)What is a hole?spin polarizationCharge accumulationMgO-based MTJMagneto-opticsSpin vs Orbital momentWhat is the Spin?model comparisonQuestions & AnswersEB nanotechnologyReticle 11
|
Volt 57A Ta(5 nm)/ FeCoB( x=0.5 1.1 nm)/ MgO(7 nm)/ Ta(1 nm)/ Ru(5 nm)Measurement of magnetic and magneto- transport properties of nanomagnets. Measurement data.Abstract:High- precision, high- reproducibility, high- repeatability measurement of magnetic and magneto- transport properties of ferromagnetic nanomagnets using the Hall effectHigh-precision measurement of effect of spin-orbit torque (SOT effect): Dependence of magnetic and magneto- transport properties on electrical currentHigh-precision measurement of effect of voltage-controlled magnetic anisotropy (VCMA effect): Dependence of magnetic and magneto- transport properties on a gate voltage
|
Nanowire with two Hall probes |
![]() |
Measured hysteresis loop (See below) for gap regions indicates that the etching was stopped in middle of FeCoB layer |
| click on image to enlarge it |
(1.2) Spin-orbit torque: Measurement of dependence of Hall angle, Anomalous Hall effect (AHE), Inverse Spin Hall effect on current magnitude and polarity.
(1.3) VCMA: Measurement of dependence of Hall angle, Anomalous Hall effect (AHE), Inverse Spin Hall effect on gate voltage
(measurement 2)
Measurement of anisotropy field vs external perpendicular magnetic field
(2.1) Measurement of PMA & Anisotropy field
(2.2) Spin-orbit torque: ""Field- like torque" ""Damp- like torque". Measurement of dependence of PMA on the electrical current .
(2.3) VCMA: ""Field- like torque" ""Damp- like torque". Measurement of dependence of PMA on gate voltage.
(measurement 3)
Measurement of magnetization switching under external perpendicular magnetic field
(3.1) Measurement of coercive field HC, retention time, size of nucleation domain, parameter delta Δ
(3.2) Spin-orbit torque: Current dependence of magnetization switching parameters.
(3.3) VCMA: dependence of magnetization switching parameters on gate voltage.
Hysteresis loop |
||||
|
||||
Sample Volt57A: Ta(5 nm)/ FeCoB( x=0.5 1.1 nm)/ MgO(7 nm)/ Ta(1 nm)/ Ru(5 nm) |
||||
| click on image to enlarge it |
fabrication: Ret14 (stepper only, no EB)
MgO 220C/360C
Raw data Volt57A.zip (.dat files and origin.9 files)
Conductivity: 0.044-0.055 S/m2
Anisotropy field Hanis =4.8 kGauss
Coercive field = 200 Oe-330 Oe;
Hall angle measured=175- 235 mdeg
Intrinsic Hall angle of FeB= 970- 1303 mdeg;
Gap region etched: FeB is fully etched, stopped at Ta/FeCoB interface
Since the nanowire is double- layer, which consists of Ta and FeCoB layer, the Hall angle in FeCoB can be calculated from measured Hall angle (See here) as

where 
tFeB, tTa, σFeB,σTa are thicknesses and conductivities of FeCoB and Ta metals.
kdouble=5.5455
Kerr Rotation angle MOKE |
![]() |
data of a plain film before nanofabrication |
| (note) Coercive field and shape of coercive loop is very different for a nanomagnet and film, from which it was fabricated, because of different magnetization switching mechanisms (See here) |
| click on image to enlarge it |
nanowire width: 3 μm; nanomagnet length: 3 μm
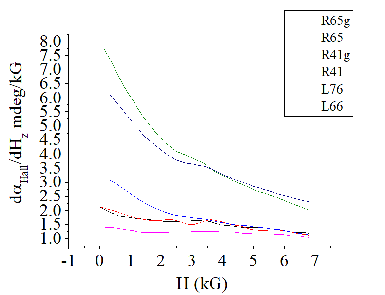
Hall angle, Anomalous Hall effect (AHE), Inverse Spin Hall effect (Sample dependence) |
details of this measurement method is here |
| Sample Volt57A: Ta(5 nm)/ FeCoB( x=0.5 1.1 nm)/ MgO(7 nm)/ Ta(1 nm)/ Ru(5 nm) |
| click on image to enlarge it |
The Hall angle αHall , its 1st derivation ∂αHall/∂Hz and its 2d derivation ∂2αHall/∂Hz2 is simultaneously fitted by equation (See here)

where αOHE is Hall angle of Ordinary Hall effect, αAHE is Hall angle of Anomalous Hall effect and where αISHE is Hall angle of Inverse Spin Hall effect
There is an ambiguity for αISHE and αAHE, which depends on unknown spin polarization sp


where sp is the spin polarization of conduction electrons, αAHE,0.5 is αAHE at sp=0.5, αISHE,0.5 is αISHE at sp=0.5
sample:( L66)
αISHE,0.5= 241 mdeg; αAHE,0.5= 930 mdeg; αOHE=0.2 mdeg/kG; Hp=5.5 kG;
sample:( L70)
αISHE,0.5= 247 mdeg; αAHE,0.5= 713 mdeg; αOHE=0.2 mdeg/kG; Hp=5.0 kG;
sample:( L76)
αISHE,0.5= 291 mdeg; αAHE,0.5= 713 mdeg; αOHE=0.2 mdeg/kG; Hp=5.0 kG;
AHE & ISHE Spin-orbit torque. Hall angle, Anomalous Hall effect (AHE), Inverse Spin Hall effect vs current |
details of this measurement method is here |
| Sample Volt57A: Ta(5 nm)/ FeCoB( x=0.5 1.1 nm)/ MgO(7 nm)/ Ta(1 nm)/ Ru(5 nm) |
| click on image to enlarge it |
(temperature) ![]()
(AHE vs I2 ): small 1.5% decrease at current of 50 mA/ μm2; (fig.4a)
(ISHE vs I2 ):moderate, 0.3 mdeg/kG (fig.4b)
(Spin- orbit torque) ![]()
(AHE(I)-AHE(-I)):small 0.2 slope: negative (except one gap measurement) ; saturation: at 40 mA/ μm2; (fig.4c)
(ISHE(I)-ISHE(-I)): very small (~0.02 mdeg/kG) (fig.4d)
AHE & ISHE VCMA. Hall angle, Anomalous Hall effect (AHE), Inverse Spin Hall effect vs gate voltage |
details of this measurement method is here |
| Sample Volt57A: Ta(5 nm)/ FeCoB( x=0.5 1.1 nm)/ MgO(7 nm)/ Ta(1 nm)/ Ru(5 nm) |
| click on image to enlarge it |
(AHE vs Vgate ): moderate 1.3 % ; slope: negative; saturation: Vgate=+1 V
(ISHE vs Vgate ): small 0.07 mdeg/kG; slope: unclear;
Measurement of PMA. Anisotropy field |
details of this measurement method is here |
| Sample VolA57: Ta(3 nm)/ FeB(1.1 nm)/ MgO(7 nm)/ W(1 nm) /Ru(5 nm) |
| click on image to enlarge it |
Spin-orbit torque
vs PMASpin-orbit torque. Measurement of dependence of PMA on the electrical current j. |
details of this measurement method is here |
| Sample Volt57A: Ta(5 nm)/ FeCoB( x=0.5 1.1 nm)/ MgO(7 nm)/ Ta(1 nm)/ Ru(5 nm) |
| click on image to enlarge it |
Spin-orbit torque. Measurement of dependence of anisotropy field Hanis and offset magnetic field Hoff on the electrical current j. |
Data of Sample L70 |
| details of this measurement method is here |
| click on image to enlarge it |
VCMA
VCMA. Measurement of dependence of PMA on gate voltage |
details of this measurement method is here |
| Sample Volt57A: Ta(5 nm)/ FeCoB( x=0.5 1.1 nm)/ MgO(7 nm)/ Ta(1 nm)/ Ru(5 nm) |
| click on image to enlarge it |
Voltage-controlled magnetic anisotropy (VCMA). |
Data of Sample L66, R65 |
| details of this measurement method is here |
| click on image to enlarge it |
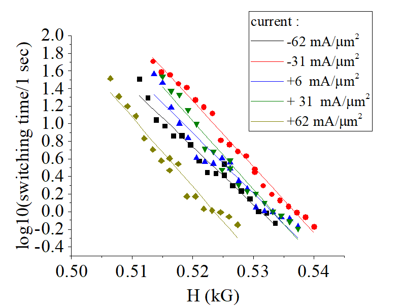
SOT effect. Current dependence of magnetization switching parameters. |
details of this measurement method is here |
| Sample Volt57A: Ta(5 nm)/ FeCoB( x=0.5 1.1 nm)/ MgO(7 nm)/ Ta(1 nm)/ Ru(5 nm) |
| click on image to enlarge it |
VCMA
VCMA. Measurement of dependence of PMA on gate voltage. |
|||||||||
|
|||||||||
details of this measurement method is here |
|||||||||
| Sample Volt57A: Ta(5 nm)/ FeCoB( x=0.5 1.1 nm)/ MgO(7 nm)/ Ta(1 nm)/ Ru(5 nm) | |||||||||
| click on image to enlarge it |
I am strongly against a fake and "highlight" research ![]()
![]()
![]()
![]()
I will try to answer your questions as soon as possible